2025-11-19
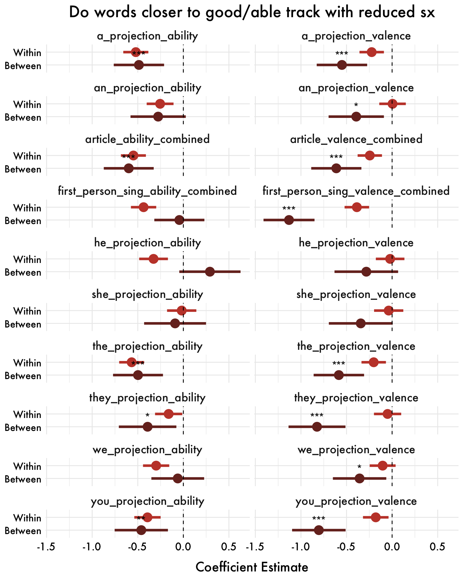
Note. Data are aggregated at the assessment level and coefficients are unstandardized.First person sing. = means of I, me, and my projections for each participant.
Note. Data are aggregated at the assessment level and coefficients are unstandardized.First person sing. = means of I, me, and my projections for each participant.
Results are condensed to be for the first-person singular valence and ability projections only (combined).
Results are condensed to be for the first-person singular valence and ability projections only (combined).
# Standardization method: pseudo
Parameter | Std. Coef. | 95% CI
----------------------------------------------
(Intercept) | 0.00 | [0.00, 0.00]
daysSinceFirstText | 0.06 | [0.05, 0.06]
# Standardization method: pseudo
Parameter | Std. Coef. | 95% CI
----------------------------------------------
(Intercept) | 0.00 | [0.00, 0.00]
daysSinceFirstText | 0.07 | [0.06, 0.08]
# Standardization method: pseudo
Parameter | Std. Coef. | 95% CI
-----------------------------------------------
(Intercept) | 0.00 | [ 0.00, 0.00]
daysSinceFirstText | -3.67e-03 | [-0.01, 0.00]
# Standardization method: pseudo
Parameter | Std. Coef. | 95% CI
------------------------------------------------
(Intercept) | 0.00 | [ 0.00, 0.00]
daysSinceFirstText | -0.02 | [-0.03, -0.02]

Controlling for baseline symptoms
model = lmer(Internalizing ~ first_person_sing_valence_combined * clusterComb + daysSinceFirstText + (1|room_id), data = data_cluster)

# Standardization method: pseudo
Parameter | Std. Coef. | 95% CI
----------------------------------------------
(Intercept) | 0.00 | [0.00, 0.00]
daysSinceFirstText | 0.10 | [0.08, 0.11]
# Standardization method: pseudo
Parameter | Std. Coef. | 95% CI
----------------------------------------------
(Intercept) | 0.00 | [0.00, 0.00]
daysSinceFirstText | 0.06 | [0.06, 0.07]
# Standardization method: pseudo
Parameter | Std. Coef. | 95% CI
----------------------------------------------
(Intercept) | 0.00 | [0.00, 0.00]
daysSinceFirstText | 0.06 | [0.05, 0.06]
# Standardization method: pseudo
Parameter | Std. Coef. | 95% CI
------------------------------------------------
(Intercept) | 0.00 | [ 0.00, 0.00]
daysSinceFirstText | 0.07 | [ 0.06, 0.08]

Cluster predicting fdSx controlling for bSx


